Poincarého mapy
periodické body
topologická konjugace
difeomorfismus
hyperbolické cykly
přitahující množiny
invariantní množiny
atraktor
4.1 Poincarého mapy
Pro vytvoření názorného fázového portrétu u systémů vyšší dimenze nestačí prostředky, které jsme dosud používali. Jedinou možností jak zachytit vlastnosti fázového portrétu v prostoru nižší dimenze je projekce nebo řez vícerozměrného útvaru obecnou plochou. Zjednodušeně lze Poincarého mapu chápat jako řez (podmnožinu) fázového portrétu, v němž má jedna nebo více stavových proměnných konstantní hodnotu.
Příklad 4.3
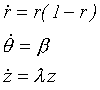
Uvažujme dynamický systém definovaný soustavou v cylindrických souřadnicích:
Fázový portrét systému lze zkonstruovat pomocí rozkladu na podsystém (r,q ) a jednorozměrný systém z s řešením
Na obr.4.4 je fázový portrét podle nalezeného řešení.

Obr 4.4 Fázový portrét nelineárního systému pro l<0 a l>0. V prvním případě existuje limitní cyklus systému, ve druhém existuje uzavřený orbit, ale není limitním cyklem.
Odpovídající Poincarého mapa, kterou zkonstruujeme jako řez fázového portrétu polorovinou q = 0 připomíná fázový portrét stabilního a sedlového bodu (viz obr.3.1,2).
Obr.4.5 Odpovídající Poincarého mapy k fázovým portrétům na obr.4.4. Tečkami jsou vyznačeny průchody trajektorií rovinou řezu. Bod (x,z) = (1,0) odpovídá průsečíku jediného uzavřeného orbitu s rovinou řezu.
Vidíme, že Poincarého mapa poskytuje v tomto případě dobrou ilustraci chování dynamického systému takovou, že lze využít klasifikace vytvořené při studiu lineárních systémů v rovině. Ve skutečnosti tvoří Poincarého mapy jeden z nejdůležitějších nástrojů pro vyšetřování nelineárních dynamických systémů vyšších dimenzí, a proto je mnoho pozornosti věnováno jejich obecným vlastnostem.
Poincarého mapa se někdy nazývá rovněž mapou prvního návratu, neboť její posloupnosti připomínající trajektorie jsou složeny z bodů, které vyjadřují další průnik trajektorie ve fázovém prostoru s rovinou řezu, do níž se trajektorie musí vrátit. Je-li xi bod v Poincarého mapě, pak další průnik téže trajektorie s rovinou řezu vytvoří bod xi+1, který je jednoznačně určen bodem xi. Proto je mapa Poincarého definována jako zobrazení P(x), které každému bodu x přiřadí bod dalšího návratu.
Pokud řešení příkladu 4.3 vyjádříme v kartézských souřadnicích, snadno odvodíme, že Poincarého mapa má explicitní tvar:
kde t=2p/b vyjadřuje periodu návratu trajektorie do roviny řezu.
Periodické body v Poincarého mapě
Mapa Poincarého je tedy analogií fázového portrétu, kde trajektorie je nahrazena posloupností bodů navzájem souvisejících prostřednictvím zobrazení P. Označíme-li některý z bodů Poincarého mapy x0 , zřejmě platí
![]() |
(4.7) |
Vzhledem k tomu, že systém je deterministický, musí existovat i inverzní zobrazení takové, že
![]() |
(4.8) |
Dále můžeme definovat identické zobrazení
a tím definovat obdobu trajektorie
procházející bodem x0 v mapě Poincarého pomocí posloupnosti
zobrazení
. Tyto posloupnosti se často
nazývají také orbitami z prostého důvodu. Při vyšetřování modelových
systémů jsou trajektorie obvykle omezeny na uzavřenou oblast fázového prostoru, což
vyplývá z konečné energie systému a existence interakce mezi jeho částmi (viz
např. viriálový teorém). Jednotlivé posloupnosti v Poincarého mapě jsou tedy
rovněž omezeny na podmnožinu definičního oboru mapy, a jak dále uvidíme, leží
body těchto posloupností často na uzavřené křívce.
Stejně jako v případě fázových portrétů lze zavést pojem pevných bodů v
mapách Poincarého takových, že platí
pro
každé k>0, a vyšetřovat mapy v jejich okolí. Z příkladu 4.3 je ihned
zřejmé, že trajektorie fázového prostoru ve tvaru orbitů se mapují do pevných
bodů v Poincarého mapě. Kromě toho však existuje ještě jiná varianta pevných
bodů v Poincarého mapách, kdy platí:
![]() |
(4.9) |
Trajektorie, které se mapují do pevných bodů tohoto druhu, se nazývají k-násobné
cykly a odpovídající posloupnosti
v
mapě Poincarého se nazývají orbity s periodou k. Pevný bod x0,
který není pevným bodem v mapě P, avšak je pevným bodem v mapě Pk,
se nazývá periodický bod s periodou k.
Podle odst.3.8 je zřejmé, že
kvaziperiodický pohyb je vlastně cyklus, kde
.
Obrácené tvrzení však neplatí, neboť systém může vykazovat také různé druhy
chaotického chování, které je zcela odlišné od kvaziperiodického cyklu, jenž je
pouze limitním případem pravidelného pohybu.
Poznámka:
V dalších kapitolách uvidíme, že násobné cykly jsou projevem nelineárnosti
dynamického systému a že velikost periody k úzce souvisí s chaotickým vývojem
systému.
Topologická konjugace a linearizace difeomorfismů
Z požadavku na determinističnost systému plyne, že zobrazení P je
diferencovatelné a existuje k němu diferencovatelná inverze, jedná se tedy o difeomorfismus (v
teoretické literatuře je často tento pojem použit místo označení Poincarého mapa).
Analýza topologických vlastností Poincarého map vyžaduje zavedení analogických
pojmů, jako v případě fázových portrétů. Pojem kvalitativní ekvivalence je
přitom nahrazen pojmem topologická konjugace: dva
difeomorfismy P(x) a Q(y) jsou topologicky
konjugované, pokud existuje spojité bijektivní zobrazení mezi všemi jejich
posloupnostmi
, které zachovává iterační
index k. Z definice plyne důležitý závěr: h(Pk(x))
= Qk(h(x)).
Je-li difeomorfismus P lineární, platí
| (4.10) |
Čtvercová matice A má rozměr mxm, kde m je dimenze variety, tvořící řez fázového prostoru. Stejně jako v případě fázových portrétů můžeme definovat linearizaci Poincarého mapy pomocí linearizační matice, které má tvar
![]() |
(4.11) |
Hyperbolickým bodem lineárního difeomorfismu pak nazveme pevný bod lineární mapy, v jejíž matici mají všechny vlastní hodnoty velikost (komplexní modul) různou od jedné.
Příklad 4.4
Oprávněnost takovéto definice hyperbolického bodu objasníme na Poincarého mapě dvourozměrného nelineárního (kvadratického) dynamického systému definovaného v polárních souřadnicích vztahy
Explicitní řešení je tvaru
Fázový portrét systému pro kladný parametr a je na obr.4.6a. V počátku souřadného systému existuje nestabilní ohnisko, které je zároveň středem stabilní trajektorie ve tvaru kružnice s poloměrem r=1. Snadno lze ukázat, že tato trajektorie je limitním cyklem (jediným) uvažovaného systému. Konstrukce Poincarého mapy, kterou definujeme pomocí řezu fázového portrétu poloosou y=0, x>0, je zřejmá z obr.4.6b. Je-li P(x) zobrazení mezi dvěma následnými průchody spirálové trajektorie poloosou y=0, x>0, lze nové hodnoty posloupnosti xi získat postupnými geometrickými iteracemi. Vidíme, že pevné body vznikají v místě průniku křivky funkce y=P(x) s přímkou x=y a navíc je jejich stabilita závislá na směrnici zobrazení P(x) v místě průniku. Je-li velikost derivace |dP(x)/dx| < 1, jedná se o stabilní pevný bod.

Obr.4.6 Fázový portrét dvojrozměrného nelineárního dynamického systému a odpovídající jednorozměrná mapa Poincarého. Pevný bod x* v Poincarého mapě odpovídá limitnímu cyklu.
Linearizační matice DP(x) ze vztahu (4.11) je tedy zobecněním derivace jednorozměrného zobrazení P(x) a definice hyperbolického bodu v Poincarého mapě je analogií hyperbolického bodu fázového portrétu. Připomínáme, že pevný bod v Poincarého mapě odpovídá uzavřenému cyklu ve fázovém portrétu. Proto se v souvislosti s hyperbolickými body difeomorfismů hovoří často o hyperbolických cyklech. Sedlový hyperbolický bod v Poincarého mapě podle obr.4.5 je opět bodem, kterým procházejí stabilní a nestabilní variety definované v prostoru definičního oboru (tzv. doméně) Poincarého mapy. V tomto případě můžeme např. stabilní varietu sedlového bodu x0 definovat jako množinu bodů x takových, že
| (4.12) |
Stabilita a nestabilita variet hyperbolického sedlového bodu v Poincarého mapě je nyní závislá na tom, zda moduly vlastních hodnot linearizační matice (4.11) jsou menší nebo větší než jedna.
4.2 Přitahující množiny a atraktory
Limitní množiny dynamických systémů v rovině mohou podle Bendixsonova teorému obsahovat uzavřené orbity, izolované pevné body nebo jejich sjednocení, v případě nejednoduchých pevných bodů jsme viděli, že limitní množinou může být také souvislá křivka sestávající z pevných bodů (viz obr.4.2). Všechny tyto množiny jsou zároveň tzv. přitahujícími (též atrakčními) množinami. Pojem atrakční množiny je však užší, tj. každá atrakční množina je zároveň limitní množinou. Příklad limitní množiny, která není přitahující množinou je na obr.4.7. Limitní cyklus přitahuje trajektorie, které leží uvnitř cyklu, avšak všechny vnější trajektorie jsou uzavřené a cyklus není jejich limitní množinou.

Obr. 4.7 Příklad fázového portrétu obsahujícího limitní nepřitahující množinu v rovině.
Každé okolí přitahující množiny tedy obsahuje oblast záchytu, pro kterou je přitahující množina limitní množinou. Z toho vychází také obecná definice přitahující množiny A pro dynamický systém s operátorem toku Ft:
v každém okolí uzavřené množiny A existuje množina T taková, že
.
Přitahující množina A musí být vzhledem k operátoru toku Ft invariantní,
tj. pro každý bod
.
Příklad 4.5
Rozšíříme rovinný systém z příkladu 4.4 na prostorový pomocí další nezávislé stavové proměnné f takto:
Systém je nyní složen z pohybu v rovině, který má jediný limitní cyklus s jednotkovým poloměrem a frekvencí b, a z dalšího jednoduchého kruhového pohybu s frekvencí g. Podle odst.3.8 musí tedy výsledná limitní množina ležet na povrchu dvojrozměrného toru. Tato množina je zřejmě zároveň přitahující množinou. Budou-li však parametry systému b a g racionálně závislé, bude přitahující množinou uzavřená křivka (orbit) ležící na povrchu toru. V případě racionálně nezávislých parametrů b a g bude atrakční množinou křivka, která pokryje hustě celý povrch toru, tj. bude procházet v libovolné blízkosti každého bodu na povrchu toru. Takový druh přitažlivé množiny se nazývá atraktor. Povrch toru je tedy atraktorem našeho systému jenom v případě racionální nezávislosti parametrů b a g. Vyznačuje se mj. tím, že jej nelze rozložit na podmnožiny, které jsou samy o sobě také přitahujícími množinami.
Všimněme si, že objem atrakčních množin v našich případech byl vzhledem k fázovému prostoru vždy nulový, tj dimenze množin (nebo variet), které tvořily atrakční množiny byla menší než dimenze fázového prostoru. V dalších kapitolách uvidíme, že atraktory nelineárních systémů s více než dvěma proměnnými mohou mít velmi neobvyklé vlastnosti a že jejich dimenze nemusí být celočíselná.