Jiří Doležel, Lukáš Novák, Drahomír Novák
Ústav stavební mechaniky, Fakulta stavební, VUT v Brně
e-mail: novak.d(zavinac)fce.vutbr.cz
IO‐SUPPORT je software určený pro stanovení a vizualizaci zatížitelnosti stavebních konstrukcí pomocí pravděpodobnostních metod. Software má dvě základní funkce (INPUTS, RESPONSE) a ty jsou zpracovány jako 2 typy záložek:
Zde je možné připravit data vstupních náhodných veličin s ohledem na jejich variabilitu. Řádky (A,B) zobrazují dva základní problémy, které vyvstávají při použití pravděpodobnostních výpočtů v praxi:

Obrázek 1: Záložka INPUTS
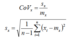
Mean je střední hodnota náhodné veličiny:

COV je variační koeficient:

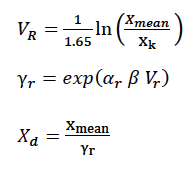
α je citlivostní součinitel odolnosti - dle EC zpravidla α = 0,8.
β je index spolehlivosti - dle EC zpravidla β = 3,8; 4,7.
Xk je charakteristická hodnota odolnosti - 5% kvantil.
Xd je návrhová hodnota odolnosti - kvantil je dán:

γ je dílčí součinitel bezpečnosti:

PPF je typ rozdělení pravděpodobnosti:
- Lognormální:

- Normální:

Záložka pracuje se souborem vytvořeným programem FREET a SARA (přípona .fre). Po načtení souboru .fre, vybereme požadovanou veličinu. Výpočet je zpracováván, po určení součinitelů α, β a typu rozdělení pravděpodobnosti náhodné veličiny, pro metody ECoV (metoda odhadu variačního koeficientu) a PSF (metoda částečného součinitele bezpečnosti; 0,1% kvantil). Střední hodnota a CoV jsou vypočteny dle vztahů uvedených v kapitole 2.1 Záložka INPUTS. Do vizualizace lze také zahrnout výsledky experimentů a výpočtu dle EC 2.

Obrázek 2: Záložka RESPONSE
Metoda ECoV
Náhodná distribuce pevnosti je popsána variačním koeficientem VR.

Program IO-SUPPORT byl vyvinut za podpory projektu č. TA04030713 - Modelování degradace a zajištění životnosti betonových mostů Technologické agentury České republiky (TAČR).
[1] NOVÁK, D., VOŘECHOVSKÝ, M., TEPLÝ, B. 2014. FReET: Software for the statistical
and reliability analysis of engineering problems and FReET-D: Degradation
module. Advances in Engineering Software, Vol. 72, 179-192.
[2] Česká technická norma ČSN EN 1990: Zásady navrhování konstrukcí, Český normalizační institut, Praha, listopad 2003.
Pro získání programu IO-SUPPORT kontaktujte autory, viz kontaktní údaje výše.