ZPRÁVA O XXX. KOMORNÍM SEMINÁŘI
ÚSKALÍ LOMOVÉ MECHANIKY KOMPOZITŮ NA SILIKÁTOVÉ I JINÉ BÁZI
Lomové parametry sádry
GA ČR 103/03/0006, CEZ: J22/98: 261100007 a CEZ: J22/98: 261100009
Seminář se konal dne 16. 12. 2004 na Ústavu chemie FAST VUT v Brně.
Setkání výzkumných týmů z Katedry stavební mechaniky FSv ČVUT v Praze a FAST VUT v Brně (CHE, STM, SZK) si kladlo za cíl vzájemnou výměnu výsledků experimentálních prací se sádrou v rámci grantového projektu "sádry":
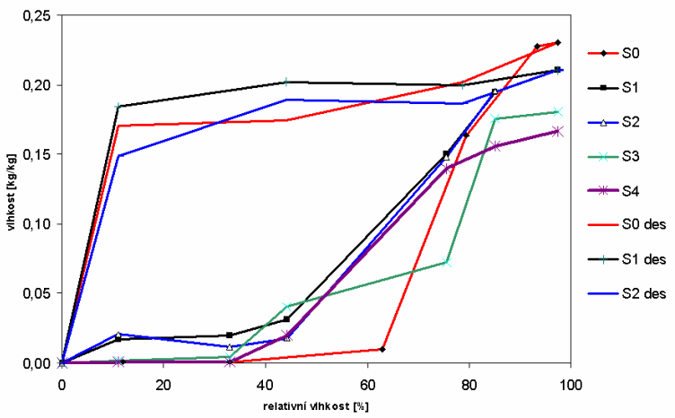
Seminář otevírala prezentace Pavly Rovnaníkové (Modifikace vlastností energosádry, viz ilustační obr. 1), pokračoval přednáškou Pavla Tesárka (Mechanické, tepelné a vlhkostní vlastnosti surové a modifikované sádry, ilustrační obr. 2) a posléze prezentací Zbyňka Keršnera (Lomové parametry sádry, ilustrační obr. 3). Diskutovány byly výsledky jednotlivých týmu, jakož i možnosti dalších experimentů pro vybrané vodní součinitele, např. s přídavkem vláken.

Obr. Závislost porozity na vodním součiniteli sádry

Obr. Závislost lomové energie na vodním součiniteli ze sádrových vzorků dvou stáří

Obr. Závislost lomové energie na vodním součiniteli ze sádrových vzorků dvou stáří